La complétion du carré
vue et revue
- 11 minutes de lecture
Vincent L. Rouleau
- Pensionnat du Saint-Nom-de-Marie
- vincent.laurence-rouleau@umontreal.ca
1. Introduction
Dans leur article La complétion du carré et la fonction quadratique, publié dans la revue Envol (numéro 181, printemps-été 2023), Vermette et Séguin (2023) affirment que « la complétion de carré n’est pas vraiment une méthode de factorisation » et rappellent l’importance de faire des liens — et d’en faire faire aux élèves ! — dans un sens comme dans un autre, par exemple en exprimant d’une part que

et, d’autre part, que
![]()
ce qui permet de conclure d’une façon et d’une autre que l’on peut exprimer h et k en fonction de a, b et c, et réciproquement. Dans le présent article, j’aimerais répondre à l’invitation des auteurs à poursuivre la réflexion vers un enrichissement d’une compréhension conceptuelle de la complétion du carré.
2. Hypothèse et test
Parmi les différentes intentions qui guident ma pratique enseignante, je valorise particulièrement les deux suivantes : faire vivre des expériences culturellement riches aux élèves, notamment sur le plan de l’histoire des idées, et le faire de la façon la plus authentique possible quant à la pensée ou activité mathématique engagée. Je mets particulièrement en action cette double intention pour introduire la résolution d’une équation polynomiale de degré 2, présenter une approche historique par la complétion du carré et exemplifier le rôle de l’analogie en mathématique comme source d’inspiration pour imaginer des stratégies de résolution de problèmes. Et j’espère que l’une ou l’autre marque l’esprit de mes élèves.
Voici grosso modo l’approche que j’ai soumise au test au fil des années auprès d’élèves de 4e secondaire. Dans un premier temps, je propose de résoudre une équation réconfortante, par exemple 2x + 12 = 64, par opérations réciproques. Cela a pour but de réactiver une certaine conception algébrique adoptée et renforcée au cours des années de scolarité. Dans un deuxième temps, je cherche à déstabiliser cette conception en proposant un problème qui ne peut être résolu en employant les stratégies précédentes ; prenons par exemple celui qui consiste à déterminer la (ou les) valeur(s) de l’indéterminée x dans l’équation x2 + 12x = 64. Dans un troisième temps, je partage une idée ancienne, celle de concevoir un nombre comme une mesure géométrique ; le « carré de x », c’est-à-dire x2, est l’aire du carré dont le côté mesure x, tandis que 12x est l’aire du rectangle dont les côtés mesurent 12 et x. L’expression x2 + 12x signifie que l’on considère l’aire totale de ces deux figures en les juxtaposant (figure 1) ; cette aire totale vaut 64 telle qu’exprimée par l’équation x2 + 12x = 64.

Figure 1 Rectangle illustrant x2 + 12x

Figure 2 Rectangle transformé en L

Figure 3 Carré complété
Bref, comme le côté du grand rectangle vaut à la fois x + 6 et 10, on en déduit finalement que x = 4.
Exprimons par un enchaînement d’équations notre résolution inspirée par la complétion du carré (Figure 4) :

Figure 4 Résolution par complétion (1)
Cela invite dans un quatrième temps à décontextualiser cette idée pour résoudre toute équation de la forme ax2 + bx = – c; on garde à l’esprit la stratégie inspirée de la complétion du carré, mais on accepte des nombres absurdes ou imaginaires1 (figure 5).

Figure 5 Résolution par complétion (2)
Notons qu’il est possible de « détacher » la complétion du carré de sa raison d’être première — celle d’insuffler une façon astucieuse de résoudre une équation de degré 2 — afin de l’engager dans d’autres raisonnements, par exemple la factorisation de trinômes de degré 2 dans l’ensemble C[x] des polynômes en x à coefficients complexes. Une possible transition d’une idée à l’autre consiste à résoudre x2 + 12x = 64 en « annulant » les aires des carrés et rectangles. Autrement dit, on entreprend la résolution de x2 + 12x – 64 = 0 (figure 6) tout en ayant à l’esprit l’idée de la complétion du carré lors des premiers pas.

Figure 6 Résolution par complétion (3)
On rejoint, chemin faisant, une stratégie (usuellement enseignée, il me semble) permettant de factoriser généralement un trinôme de degré 2, mais en l’ayant enrichie d’une astuce inspirée géométriquement.

Figure 7 Factorisation par complétion
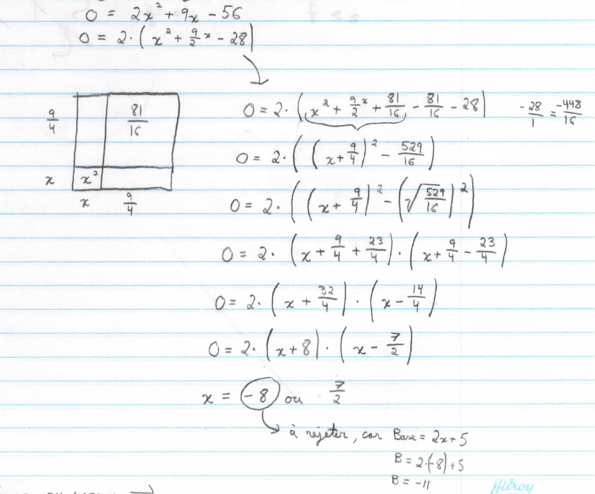
Il faut cependant oser se demander : cette expérience est-elle vraiment marquante pour certains élèves ? Je suppose que la plupart d’entre eux ne retiennent finalement que la procédure à suivre, c’est-à-dire une formule ou un enchaînement de calculs à effectuer. Cette façon de faire est d’ailleurs probablement renforcée par les exemples et exercices (corrigés) proposés dans les cahiers et autres ressources disponibles sur le web qui répandent largement ce genre de recette instantanée pour « aider » les élèves.
Cependant, je crois que l’analogie géométrique, si elle est présentée avec un peu d’enthousiasme aux élèves, peut laisser des traces, voire s’avérer signifiante, chez certains d’entre eux. Dans la figure 8, un élève illustre l’idée clef de la complétion du carré au cours de la résolution d’un problème dans le cadre d’une évaluation ; j’ose espérer qu’elle a servi d’ancrage pour déterminer le terme «
8116 ».

Figure 8 Résolution d’une équation de degré 2 inspirée par la complétion du carré
3. Choix didactiques et conclusion
À ma connaissance, on doit à Al-Khowârizmî cette idée de « complétion du carré ». Dans The Algebra of Mohammed Ben Musa2, il avait proposé deux façons de l’illustrer pour l’expliquer ; l’une d’elles est celle que nous avons présentée, et l’autre consistait à diviser le rectangle d’aire 12x en quatre rectangles isométriques et de les juxtaposer à chaque côté du carré x2, puis de compléter les quatre coins du grand carré (figure 9).

Figure 9 Complétion des quatre coins
Dans de précédents articles publiés dans la revue Envol, Jeannotte (2004) et Guillemette (2012) présentent tous deux cette illustration de la complétion « des quatre coins » du carré, reprenant l’exemple x2 + 10x = 39 d’Al-Khowârizmî. J’ignore s’il s’agit d’un choix de leur part ou s’ils ont simplement adopté le choix fait par l’auteur du texte de référence sur lequel ils s’appuient, mais mentionnons que cette dernière illustration est celle présentée en premier lieu par Al-Khowârizmî dans son ouvrage. Si j’ai plutôt utilisé l’autre illustration dans ma pratique enseignante, je dois avouer ne pas avoir choisi ; j’ai adopté d’emblée le choix fait par Hairer et Wanner (1996), illustré dans la figure 10 (pour x2 + 10x = 39).

Figure 10 La complétion du carré illustrée par Hairer et Wanner (1996)
Et, pour être tout à fait honnête, ce qui m’avait interpellé de l’illustration et m’avait encouragé à en faire usage, c’était qu’elle se rapprochait de la complétion du cube décrite par Tartaglia et Cardano (Hairer et Wanner, 1996) pour résoudre des équations de la forme x3 + Ax = B; ce rapprochement est esquissé dans la figure 11.

Figure 11 Passage d’une idée (la complétion du carré) à une autre (la complétion du cube)
Bien que l’une ou l’autre méthode pour compléter le carré puisse être plus signifiante pour certains élèves, mon « choix » s’est plutôt laissé guider par la possibilité qu’une idée, exprimée géométriquement, puisse faciliter la transition vers une autre idée, illustrant ainsi une certaine activité ou pensée mathématique qui consiste à établir des liens entre les idées3.
4. Post-conclusion
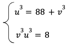
Revoici les grandes lignes de la résolution de x3 + 6x = 88 inspirée par la complétion du cube (Rouleau, 2016). Imaginons que 6x soit le volume d’un prisme dont la hauteur mesure x (Figure 12). L’idée est de découper ce dernier prisme astucieusement en morceaux (jaunes et rouges) et de les coller au cube (bleu) dont le côté mesure x, puis de compléter le grand cube ainsi formé avec un petit cube (vert). Afin de déduire les mesures permettant ce découpage-collage, on pose v comme étant la mesure du côté du petit cube et u = x + v celle du côté du grand cube.

Figure 12 Complétion du cube
On obtient d’une part l’équation u3 = 88 + v3 (représentant le volume du grand cube) et, d’autre part, 3vux = 6x (représentant le volume du prisme découpé), ou encore vu = 2. En élevant au cube cette dernière équation, on voit qu’il suffit de résoudre pour v3 et u3 le système d’équations suivant :

Si l’on ne tient compte que des valeurs réelles pour v et u, on obtient v = −2 + \(\sqrt{6}\) et u = 2 + \(\sqrt{6}\) (ou v = −2 − \(\sqrt{6}\) et u = 2 − \(\sqrt{6}\)), et conséquemment x = u − v = 4.
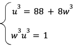
Apprécions à présent la variante suivante pour résoudre x3 + 6x = 88. Comme précédemment, il faut déduire astucieusement deux mesures, disons w et u, permettant de découper le prisme de volume 6x afin de coller les morceaux au cube de volume x3. Cependant, on cherche cette fois à compléter un grand cube en ajoutant huit petits cubes de côté mesurant w dans les coins, tel qu’illustré à la figure 13.
Le volume du prisme découpé peut être représenté par l’équation 6wux = 6x, ou encore w3u3 = 1, et celui du grand cube par u3 = 88 + 8w3, ce qui invite à résoudre le système d’équations


Figure 13 Complétion des huit coins
Bref, on obtient w3 = −112 + 9\(\sqrt{6}\)4 et u3 = 44 + 18\(\sqrt{6}\) (ou w3 = −112 − 9\(\sqrt{6}\)4 et u3 = 44 − 18\(\sqrt{6}\)), puis les valeurs réelles w = −1 + \(\sqrt{6}\)2 et u = 2 + \(\sqrt{6}\) (ou w = −1 − \(\sqrt{6}\)2 et u = 2 − \(\sqrt{6}\)), ce qui donne x = u − 2w = 4. Voilà.
- Certains mathématiciens des XVe et XVIe siècles appelaient nombres absurdes les nombres négatifs (Bessis, 2022) ; si l’on accorde plus facilement du sens à ces nombres aujourd’hui dans le cadre de la scolarité au Québec, n’éprouve-t-on pas encore de la difficulté à trouver tout à fait sensés les nombres imaginaires ?
- Il s’agit de la traduction en anglais par Frederic Rosen en 1831 du livre d’Al-Khowârismî également connu sous le nom Abrégé du calcul par la restauration et la comparaison.
- Bien entendu, l’idée de la complétion des « quatre coins » du carré pourrait mener à celle de la complétion des « huit coins » du cube, mais je ne vois pas a priori le gain d’un tel découpage, ni pour la compréhension ni pour l’efficacité de la résolution d’une équation; j’invite le lecteur à en juger par lui-même dans la post-conclusion.
Références
- Bessis, D. (2022). Mathematica. Une aventure au cœur de nous-mêmes. Paris : Éditions du Seuil.
Guillemette, D. (2012). Chronique sur l’histoire et l’enseignement des mathématiques : Al-Khwārizmī et l’art arabe de l’algèbre. Revue Envol, 160, 33-36.
Hairer, E. et Wanner, G. (1996). Analysis by Its History. New York : Springer-Verlag.
Jeannotte, D. (2004). Les tuiles algébriques : un matériel didactique pour l’apprentissage de l’algèbre. Revue Envol, 126, 19-24.
Rouleau, L. V. (2016). L’inspiration des Anciens. Bulletin de l’AMQ, 56(2), 51-64.
Vermette, S. et Séguin, M. (2023). La complétion du carré et la fonction quadratique. Revue Envol, 181, 22-26.
Articles dans ce numéro

Mot de la Directrice
Au moment de lire ces lignes, vous serez dans les dernières semaines de cette année

La force de notre réflexion collective
Alors que nous voyons arriver la fin de cette année scolaire 2025-2026, je prends un

Comment pimper vos documents de travail ?
Je me suis aperçu qu’il peut être intéressant de partager mes connaissances sur la manipulation

Résolution d’un problème algébrique : ce que nous communiquent les élèves…
Dans une récente recherche (Labrosse, 2020) où nous avons notamment exploité des problèmes avec des

Enseigner la factorisation algébrique : une approche visuelle et collaborative avec les tuiles et le « thin slicing »
Je vous propose donc une séquence d’activités de type « thin slicing » qui couvre

La complétion du carré vue et revue
Dans le présent article, j’aimerais répondre à l’invitation des auteurs à poursuivre la réflexion vers

« À quoi ça sert ? » : Donner du sens aux mathématiques avec la littératie financière et le tableur
Cet article propose une approche simple : en fusionnant la littératie financière, la compétence numérique

Comment aurait-on dû protéger la galerie d’Apollon au Louvre?
Le 19 octobre 2025, quatre voleurs équipés d’une passerelle s’introduisent par une fenêtre dans la

La CUA en classe de mathématiques
La CUA (conception universelle de l’apprentissage) est une approche pédagogique inspirée de l’architecture….

Du calcul mental aux plaines d’Abraham en passant par les camps de concentration nazis
Dans le présent texte, j’expose certains techniques de calcul mental pour ensuite glisser vers les

Défis Opti-Math
Les Concours Opti-Math et Opti-Math+ sont organisés par un comité du GRMS et visent à

Défis Opti-Math – Solutions
Solutions des questions du Défi Opti-Math. Un défi mathématique pour tous les élèves du secondaire.